porphrins bile pigments
Biomedical importanceThe biochemistry of the porphyrins and of the bile pigments are closely related topics. Heme is synthesized from porphyrins and iron, and the products of degradation of heme are the bile pigments and iron. The biochemistry of the porphyrins and of heme is basic to understanding the varied functions of hemoproteins, and the porphyrias, a group of diseases caused by abnormalities in the pathway of porphyrin biosynthesis. A much more common clinical condition is jaundice, a consequence of an elevated level of plasma bilirubin, due either to overproduction of bilirubin or to failure of its excretion. Jaundice occurs in numerous diseases ranging from hemolytic anemias to viral hepatitis and to cancer of the pancreas.
Porphyrins
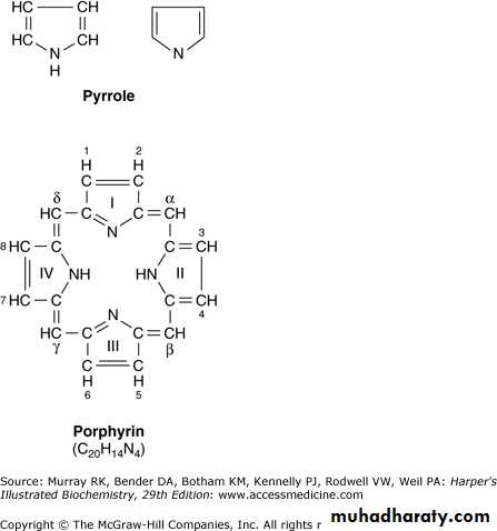
Porphyrins are cyclic compounds formed by the linkage of four pyrrole rings through methyne (ÓHC—) bridges (Figure 31–1). In the naturally occurring porphyrins, various side chains replace the eight numbered hydrogen atoms of the pyrroles. Figure 31–2 shows a shorthand representation of these substitutions. Figures 31–3 and 31–4 illustrate these substituents on selected porphyrins.
























