Obstetric injuries 18
تسلسل 17المرحلة الرابعة
نسائية
د.شيماء
العدد8
12\4\2018
The obstetric complication that affects the maternal health includes:-
1.rupture of the uterus2. acute inversion of the uterus
3.cervical lacerations
4.perineal tears
5.haematomas
6.fistulae
7.Trauma to the pelvic joints and nerves
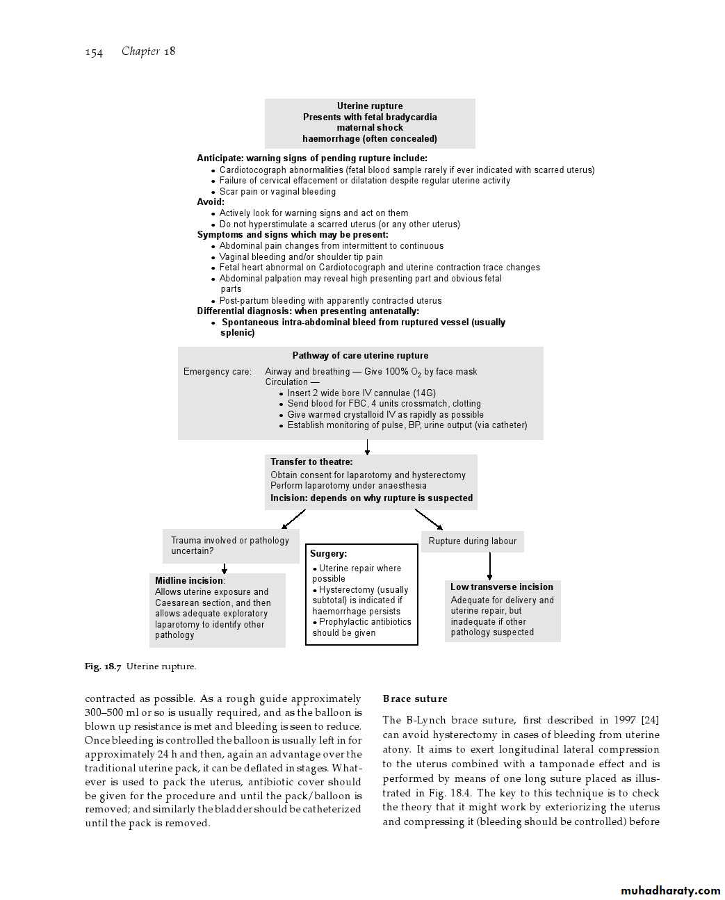
Rupture uterus
Is the most serious condition.
Can occur during pregnancy or labor
During labour
A.Spontaneous:1.Obstructed labour.
2.Rupture of a uterine scar.
3.Grand multipara: due to degeneration and overthinning of the uterine muscles.
B.Traumatic:
1.Internal version
2.Manual separation of the placenta.
3.Destructive operations.
4.Extending cervical tear
C.Iatrogenic improper use of oxytocins.
Uterine Rupture :-presented with fetal bradycardia & maternal shock & hemorrhage (often concealed)
Uterine Rupture :-presented with fetal bradycardia & maternal shock & hemorrhage (often concealed)
Uterine inversion
Descent of the uterine fundus into the cavity , cervix or through the vulva it is a very rare eventAetiology
Conditions that predispose to inversion1.Fundal implantation of the placenta
2.Abnormal adhesion of placenta(partial placenta accreta)
3.Uterine abnormality
4.Protracted labor
5.Previous uterine inversion
6.Intrapartum therapy with Mg-sulphate
7. Strong traction on umbilical cord
8. Fundal pressure
Diagnosis
Usually obvious1.Shock& bleeding the patient may be shocked out of all proportion to visible blood loss.
2.Pain
3. bleeding
4.Palpable mass at cervix,vagina or outside
5. Depression in the uterine fundus or even an absent fundus seen on abdominal examination
management
Give uterine relaxant & start manual replacement by gently pushing the fundusLaceration of the cervix
Minor laceration are very common & usually undetected , deep lacerations need repair under anaesthesia
Which can caused by
Precipitate labor
Forceps application with incompletely dilated cervix
Rapid delivery of head with breech presentation
Previous injury& scar of the cervix
Managment
Prompt recognition of the injuryControl bleeding
Repair under GA
Haematomascan be either
• Vulvar& paravaginal• 2-Subperitoneal hematomas\broad ligamenthematomas
• Are divided into those above & below the levator muscle
• Infralevator:- vulvar ,perineal, paravaginal&in the ischiorectal fossa
• Supralevator:- spread up ward &outward beneath the broad ligament
Mnagment
either conservative or surgical exploration or hysterectomy according to the site ,size & general condition of the patient for shocked patientPerineal tears
Tears that affect the perineum happened in different degrees1st degree : involves only perineal skin
2nd degree :perineal muscle like episiotomy
3rd degree :2nd+disruption of anal sphinicter
4th degree :3rd+torn anal canal
fistulae
May occur as a result of pressure by the presenting part in prolonged labour , or by direct injury during operative proceduresTypes
vesicovaginal
rectovaginal










