NUCLIEC ACIDS AND PROTEIN SYNTHESIS
Dr. MUZAHIM ALKABBAN[Professor in Clinical Biochemistry]
Nucleic acids are perhaps, the most important biological compounds. They are the chemical compounds that carry the genetic information from one generation to the other. They also regulate the activity of a living cell through the control of protein biosynthesis.
Types of nucleic acids:
They are present in two types:
1. Deoxyribonucleic acid (DNA), which is mainly present inside the nucleus.
2. Ribonucleic acid (RNA), which is mainly present in the cytoplasm.
Components of nucleic acids:Hydrolysis of nucleic acids yields three main components:
1. Pentose sugar (Ribose or 2’-Deoxyribose),
2. Phosphoric acid (H3PO4),
3. A mixture of purine and pyrimidine derivatives.
Two main differences between DNA and RNA:
1. DNA contains 2’-deoxyribose, while RNA contains ribose.2. DNA contains thymine, while RNA contains uracil.
Purines present in nucleic acids are: Adenine and Guanine.
Pyrimidines present in nucleic acids are: Cytosine, Uracil and Thymine.
Nucleosides:
Nucleoside is composed of a nitrogen base and ribose sugar [deoxyribose sugar for deoxynucleoside]. The bonding is between C-1’ in the sugar and N-9 in the purine derivative or N-1 in the pyrimidine derivatives.Nomenclature of nucleosides:
Pyrimidines: cytosine becomes cytidine; uracil becomes uridine, thymine becomes thymidine.
Purines: adenine becomes adenosine; guanine becomes guanosine.
Type of bonding: The sugar is joined to the base with β-glycosidic bond.Nucleotide:
A nucleotide is a nucleoside in which phosphoric acid forms an ester with the C-5’ of the sugar. [Note: the aster on the numbers of sugar carbons is to distinguish them from the numbering of bases].Nomenclature of nucleotides:
Adenosine becomes adenylic acid or adenosine-5’-monophosphate (AMP).
If a second phosphate is joined, it becomes adenosine-5’-diphosphate (ADP):
If a third phosphate is joined, it becomes adenosine-5’-triphosphate (ATP):
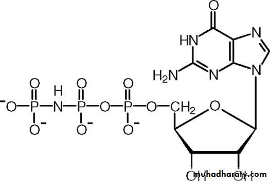
Guanosine becomes guanylic acid or guanosine-5’-monophosphate (GMP):
If a second phosphate is joined , it becomes guanosine-5’-diphosphate (GDP):
If a third phosphate is joined, it becomes guanosine-5’-triphosphate (GTP):
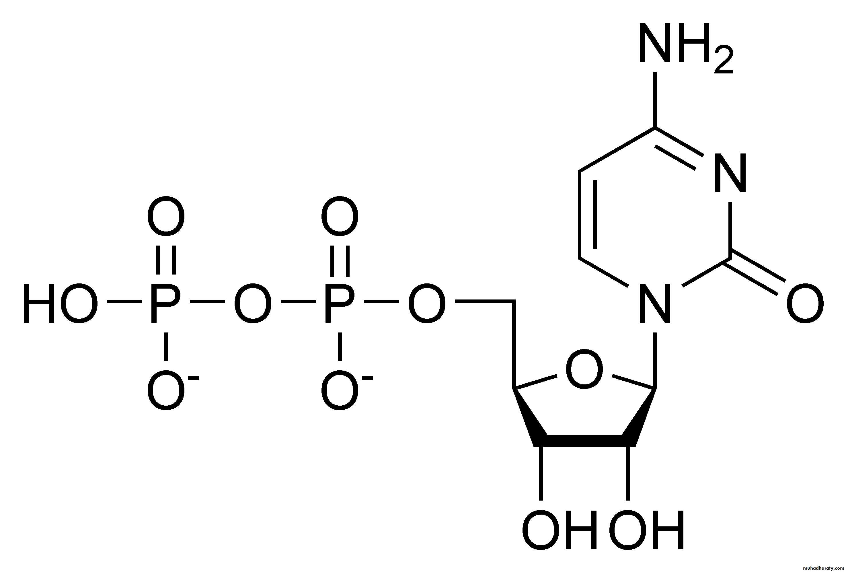
Cytosine becomes cytidylic acid or cytidine-5’-monophosphate (CMP):
If a second phosphate is joined, it becomes cytidine-5’-diphosphate (CDP):
If a third phosphate is joined, it becomes cytosine-5’-triphosphate (CTP):
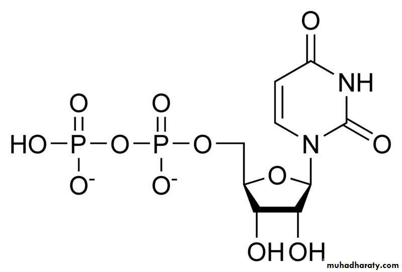
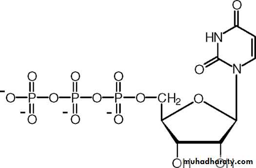
Uridine becomes uridylic acid or uridine-5’-monophosphate (UMP):
If a second phosphate is joined, it becomes uridine-5’-diphosphate (UDP):
If a third phosphate is joined, it becomes uridine-5’-triphosphate (UTP):
Deoxynucleotides:
In case of deoxyribose, 2’-deoxy is added.
2’-deoxy adenylic acid or 2’-deoxy adenosine-5’-monophosphate (d AMP); d ADP; d ATP.
d GMP; d GDP; d GTP.
d CMP; d CDP; d CTP.
d TMP; d TDP; d TTP.
d TTP
Functions of nucleotides:
The main function of nucleotides is that they form the building units of nucleic acids.Also, nucleotides play important roles in metabolic reactions:
EXAMPLES:
ATP provides energy for cellular reactions, as the enzymatic reactions utilize food energy to build ATP molecules from ADP and inorganic phosphate.
GTP is also involved in energy reactions.
UTP is involved in the interconversion of monosaccharides and in glycogen biosynthesis.
CTP is involved in phospholipids biosynthesis.
DNA structure:
When two nucleotides are linked by a phosphodiester bond, a dinucleotide is formed, and when three nucleotides are linked by a phosphodiester bonds, a trinucleotide is formed. When a number of nucleotides are joined together by phosphodiester bonds, a polynucleotide is formed. The phosphodiester bond is also known as the phosphate bridge.Primary structure of DNA:
The nucleotide content and the sequence of the nucleotides in the polynucleotide determine the primary structure of DNA.The sequence of nucleotides in the chain is of utmost importance, since this sequence determines the nature of the genetic factors.
Abbreviations:
A: AdinineG: Guanine
C: Cytosine
T: Thymine
S: Sugar (Ribose or deoxyribose)
P: Phosphate
P ―S― P ―S― P ―S
A G C
This is represent a trinucleotide, with the sequence from left to right: P AGC.
Since the chain is composed of sugar alternating with phosphate, and since the difference in the chain is only in the type and sequence of bases, the above trinucleotide can be represented as P AGC or just AGC.
Secondary structure of DNA:
Secondary structure of DNA means that two polynucleotide chains are coiled around a common axis. The two chains run anti parallel in opposite direction. The bases are present on the inside of the helix, while the phosphate and deoxyribose are present outside of the helix.The two chains are held together by hydrogen bonds between the complementary pairs of bases.
Base-Pairing Rule:
Analysis of a large number of DNA molecules from different sources showed the following:
1. The number of adinine molecules [A] equals the number of thymine molecules [T], or A/T ≈ 1.
2. The number of guanine molecules (G) equals the number of cytosine [C], or G/C ≈ 1.
This is the Base Pairing Rule. It is also known as Chargaff Rule as it was formulated by the American Jewish Scientist Chargaff.Double Helix:
Depending on the Base Pairing Rule and on X-ray pictures of DNA, Watson and Crick proposed the following for DNA structure:1. DNA molecules is composed of two polynucleotide chains wound around themselves in the form of double helix.
2. Each chain is known as a strand.
3. The two strands run in opposite directions, i.e. they are antiparallel. One strand runs in the direction 5’ 3’ while the other strand runs in the direction 3’ 5’.
4. If A is present in one strand, T will be present in the other strand.
5. A and T are joined by two hydrogen bonds.
6. If G is present in one strand, C will be present in the other strand.
7. G and C are linked by three hydrogen bonds.
8. Every strand is complementary to the other.9. Knowledge of base sequence in one strand, automatically leads to the knowledge of the sequence in the other strand by applying Base Pairing Rule.
Two biochemical functions of DNA:
1. Carrying genetic characteristics from parent to offspring.2. Control of protein biosynthesis.
Passing of genetic characteristics:
The structure of double helix immediately suggested a method for an accurate replication of DNA molecule.
Prior to cell division the two strands of DNA are separated. Each strand, then, acts as a template for the synthesis of a complementary strand following Base Pairing Rule.
When the synthesis of the new strands is completed, the two new DNA molecules represent typical copies of the original DNA molecule. This method of synthesis is known as Semi conservative.
When the two cells are separated, each cell will have the same DNA composition as the original cell.
Hence, the new cell will have the same genetic characteristics of the original cell.
Passing of genetic characteristics in the offspring:
Formation of sperms in the male is preceded by a reductive division (meiosis) in which the sperm carries half (1/2) DNA of the somatic cell.
On fertilization, the resulting zygote has a full complement of DNA, half from the male and the other half from the female.
Other factors influence the expression of characteristics coming from the male and the female.
Control of protein biosynthesis:
Control of protein biosynthesis is accomplished through transferring the information from DNA to messenger RNA (mRNA).Then, mRNA is sent from the nucleus to the site of protein synthesis, then protein biosynthesis takes place on the ribosome which are present on rough endoplasmic reticulum (RER).
Structure of RNA:
In contrast to DNA, RNA is composed of a single polynucleotide chain. The chain have bends which can be linked by hydrogen bonds.Types of RNA:
1. Ribosomal RNA (rRNA):
It is a constituent of the ribosome, the ribosomes are small bodies, present on the surface of RER, causes roughness of smooth endoplasmic reticulum in the cytoplasm.
The ribosome is composed of about 60% rRNA and about 40% protein.
Ribosome is the site of protein biosynthesis in the cell. Therefore, the number of ribosomes increased in the cells which are specializing in protein synthesis, such as liver cells.2. Messenger RNA (mRNA):
mRNA is built inside nucleus as a complementary to a piece of one strand of DNA following Base Paring Rule.
If there is guanine in DNA, cytosine is found in mRNA; if there is adenine in DNA, uracil is found in mRNA.
mRNA is sent to the ribosomes in the RER carrying the information for building proteins.
Molecular weight of mRNA depends on the length of the protein formed, it is about 106 D.
3. Transfer RNA (tRNA):
tRNA is composed from about 80 nucleotides, its molecular weight is about 25,000 D. The molecule has bends which are linked by hydrogen bonds according to the Base Pairing Rule. The shape of the molecule looks like a Clover-Leaf or a hair-pin. There is a specific tRNA for every amino acid.Function of tRNA:
The function of tRNA is to bind the specific amino acid by the help of an enzyme aminoacyl-tRNA synthetase, and then transfer the amino acid to the site of protein synthesis on the ribosomes. So, it is called transfer RNA.There are about 60 different tRNA in the cell indicating that some amino acids have more than one tRNA [the number of genetically coded amino acids is 20].
RNA:
1. smaller than DNA.2. contains ribose instead of deoxyribose in DNA.
3. Contains uracil instead of thymine in DNA.
Protein Biosynthesis:
DNA RNA PROTEINCentral Dogma
Central Dogma:
The representation shown above is known as central dogma. It means that DNA makes RNA and RNA makes proteins.
Transcription:
Protein biosynthesis begins when a separation between the 2 strands of the double helix occurs by broken the hydrogen bonds between them.One of the separated strands is used as a template for the synthesis of mRNA as a complementary strand following Base Pairing Rule [only when there is A in DNA, U will be inserted in mRNA.
This process is known as transcription, in which the piece of DNA which has been transcript is known as the Gene.
As the gene will lead to the synthesis of a polypeptide, this will be referred to as “one gene one polypeptide hypothesis”.
The synthesis of mRNA is catalyzed by DNA dependent RNA polymerase enzyme. The synthesis requires the presence of the four nucleotide triphosphate [ATP, GTP, CTP and UTP].
Genetic code:
It is clear from the way of synthesis of mRNA that the sequence of bases in mRNA has been determined by the sequence of bases in the gene in DNA.
Sequence of bases in the mRNA is known as codon. This sequence determines the sequence of amino acids in the protein.
mRNA leaves the nucleus and transportrd to the ribosomes carrying with it information in the form of base sequence.
Translation:
Translation is the reading of coded information in mRNA, and converting it to a sequence of amino acid in protein. It is a translation, since it has changed the sequence of base language into that of amino acid language.The process of translation is started by the coming of tRNA1-amino acid1 carrying the first amino acid to the ribosome.
Three bases in tRNA1 known as anticodons form hydrogen bonds with three bases in mRNA known as codons.
Then comes tRNA2-amino acid2 carrying the second amino acid according to the codon on mRNA.
tRNA2-aa becomes bound with hydrogen bonds between its anticodon bases and the codon bases in mRNA.
An enzymatic reaction occurs between the carboxyl group of first amino acid and the amino group of the second amino acid to form peptide bond. The dipeptide remains joined to tRNA2, and tRNA1 leaves the site of protein synthesis.
Then comes tRNA3-amino acid3, bringing the third amino acid according to the codon on mRNA. A tripeptide is formed linked with tRNA3, and tRNA2 leaves the site of protein synthesis.
The process continues by addition of amino acids according to the sequence of codons on mRNA until protein synthesis is completed. The completed polypeptide is then released from the last tRNA.
Protein synthesis starts with N-terminus and finished in the C-terminus.
GENETIC CODE
Genetic code:
Characteristic of the genetic code:
1. The code is triplet, i.e. composed of three bases.
2. Since the code is triplet and there are 4 bases in the nucleic acids, the possible triplets will equal 43 i.e. 4x4x4 = 64 genetic codon.
3. 61 of the 64 codon are associated with amino acids.
4. The code is non-overlapping, i.e. a base which is read will not be read again.
5. Three of the codons [UAA; UAG and UGA] act as stop codons. i.e. when protein synthesis reaches one of these codons on mRNA, the synthesis of protein is stopped.
6. The code is universal. i.e. the code is present in all living organisms, e.g. microorganisms, plants and animals.
7. The code degenerate. i.e. some amino acids have more than one codon, ex. arginine has 6 codons; leucine has 6 codon; glycine has 4 codons.







































































