Lecture 1
Antimicrobial drugs• Chemotherapy: The use of drugs to treat a disease.
Antimicrobial drugs: drugs Interfere with the growth of microbes within a host.Antibiotic: Of biological origin. Produced by a microbe, inhibits other microbes.
Chemotherapeutic agent: synthetic chemicals
Antimicrobial drugs are effective in the treatment of infections because of their selective toxicity
they have the ability to injure or kill an invading microorganism without harming the cells of the host. In most instances.
Antibacterial
Antimicrobial drugs : Substances that inhibit the growth or kill bacteria .Bacteriostatic = Inhibits growth of bacteria and replication thus limiting the speared of infection while the immune system attacks , immobilize and eliminate the pathogen .
Bactericidal = Kills bacteria
• SELECTION OF ANTIMICROBIAL AGENTS
Selection of the most appropriate antimicrobial agent requires knowing1) the organism’s identity
2) the organism’s susceptibility to antibiotic.
3) the site of the infection
4) patient factors
5) the safety of the antibiotic.
6) the cost of therapy.
Classification
Narrow – spectrum antibiotic :• agent acting only on a single or limited group of microorganism eg . Penicillin & erythromycin
Extent - spectrum antibiotic :
antibiotic that are effective against gram +ve and also against significant number of gram –ve bacteria eg. Ampicillin
Broad - spectrum antibiotic :
drug affect a wide spread variety of microbial species eg. Tetracycline and it cause Superinfection
Super infection: a new or secondary infection that can produce over growth of organism (alteration of normal microbial flora of the upper respiratory , intestinal and genitourinary tract permitting the over growth especially fungi or resistance bacteria ) that are differ from original infection and resist to agent being used and these infection are difficult to treat .
Advantages of combinations of antimicrobial agents
1-Therapy of sever infection in which a cause is unknown.(community-acquired pneumonia).2-treatment of polymicrobial infection.(hepatic , brain abscesses.
3-enhancement of antibacterial activity of drug (synergism)enterococcal endocarditis.
4-prevention of emergence of resistance microorganisms. (tuerculosis).
Disadvantages of combination of antimicrobial agents
1- increased risk of toxicity2-eradication of normal host flora(super infection).
3-increase cost.
Antibiotics misuses
1- Rx of nonresponsive infections:antibiotic therapy of 90% of infections of RTI and GIT is ineffective(viral).
2-therapy of fever of unknown origin:
fever of short duration in the absence of localizing signs is usually associated with undefined viral infection and resolve spontaneously.
3-improperd dosages:
increased dose ------------ toxic
decreased dose ------------ failure of treatment
4-inappropriate depend on chemotherapy alone:
infection complicated by abscesses , necrotic
tissues , foreign bodies can not cure by antibiotics alone.
5- lack of adequate bacteriological information(culture)
• ROUTE OF ADMINISTRATION
• The oral route of administration is chosen for infections that are mild .• 2. some antibiotics, such as vancomycin, aminoglycosides, and amphotericin B, are poorly absorbed from the gastrointestinal tract that adequate serum levels cannot be obtained by oral administration.
Parenteral administration is used:
• for drugs that are poorly absorbed from the gastrointestinal tract.(penicillin)• for treatment of patients with serious infections.
• it is necessary to maintain higher serum concentrations of antimicrobial agents .
Antimicrobial Resistance
Relative or complete lack of effect of antimicrobial against a previously susceptible microbe.Mechanisms of Antibiotic Resistance
1. Modification of target sites:Alteration of an antibiotic's target site through mutation can confer organismal resistance to one or more related antibiotics. For example, S. pneumoniae .
2.Decreased accumulation
Decreased uptake or increased efflux of an antibiotic can confer resistance, because the drug is unable to attain access to the site of its action in sufficient concentrations to injure or kill the organism
3.Enzymic inactivation:
The ability to destroy or inactivate the antimicrobial agent can also confer resistance on microorganisms. Examples of antibiotic-inactivating enzymes
Resistance to Antibiotics
Factors Promote Antimicrobial Resistance
• If a patient taking a course of antibiotic treatment does not complete it• Or forgets to take the doses regularly,
• Exposure to microbes carrying resistance genes.
• The use of antibiotics also promotes antibiotic resistance in non-pathogens ,These non-pathogens may later pass their resistance genes into pathogens.
• Use of antibiotics in foods.
• Antibiotics for viral infections
• Spread of resistant microbes in hospitals due to lack of hygiene and used extensively.
Prophylactic Antibiotics
Certain clinical situations require the use of antibiotics for the prevention rather than the treatment of infections, prophylactic use is restricted to clinical situations in which the benefits outweigh the potential risks. The duration of prophylaxis is dictated by the duration of the risk of infection.Antibiotic classify
The antimicrobial drug classified according to the mechanism of action:1. Inhibition of bacterial cell wall synthesis.
(Bactericidal)
2. Inhibition of protein synthesis. ‘Cidal’ or ‘Static’
3. Inhibition of organism production by
interfering with nucleic acid synthesis : Inhibits bacterial synthesis of RNA & DNA
4-inhibition of metabolism
The Action of Antimicrobial Drugs
β-lactams( penicillins, cephalosporins ). Vancomycin
1- Inhibitors of bacterial Cell Wall Synthesis.penicillins
Generic term for groups have similar in:• Adverse effect
• Mechanism of action
• differs in
• Antibacterial spectrum
• Pharmacokinetic
• Resistance to enzyme (-Lactamase)
Antibiotic selectively interfere with the synthesis of bacterial cell wall (a structure that mammalian cell do not possess ) the cell wall is a polymer called peptidoglycan that consist of glycan unit joint to each other by peptide cross –links and the designation of peptidoglycan cell wall to be maximally effective .
These agents require actively proliferating M.O , they have little or no effect on bacteria that are not growing and dividing . Eg B-lactam ring which essential to their activity .
Penicillins
Mechanism of actionIt interfere with last step of cell synthesis by inactivation of some penicillin binding protein which a bacterial enzymes involve d in –bacterial cell wall synthesis.
or penicillin Inhibit transpeptidase (enzyme responsible for cross –linkage between peptidoglycan chain ).
or by activation of autolysins.
All resulting in exposure of the osmotically less stable membrane and cell lyses occur so it Bactericidal and only effective against rapidly growing organism that synthesis peptidoglycan cell wall .
Antibacterial spectrum
Good gram ve+, fair gram ve –Structure :
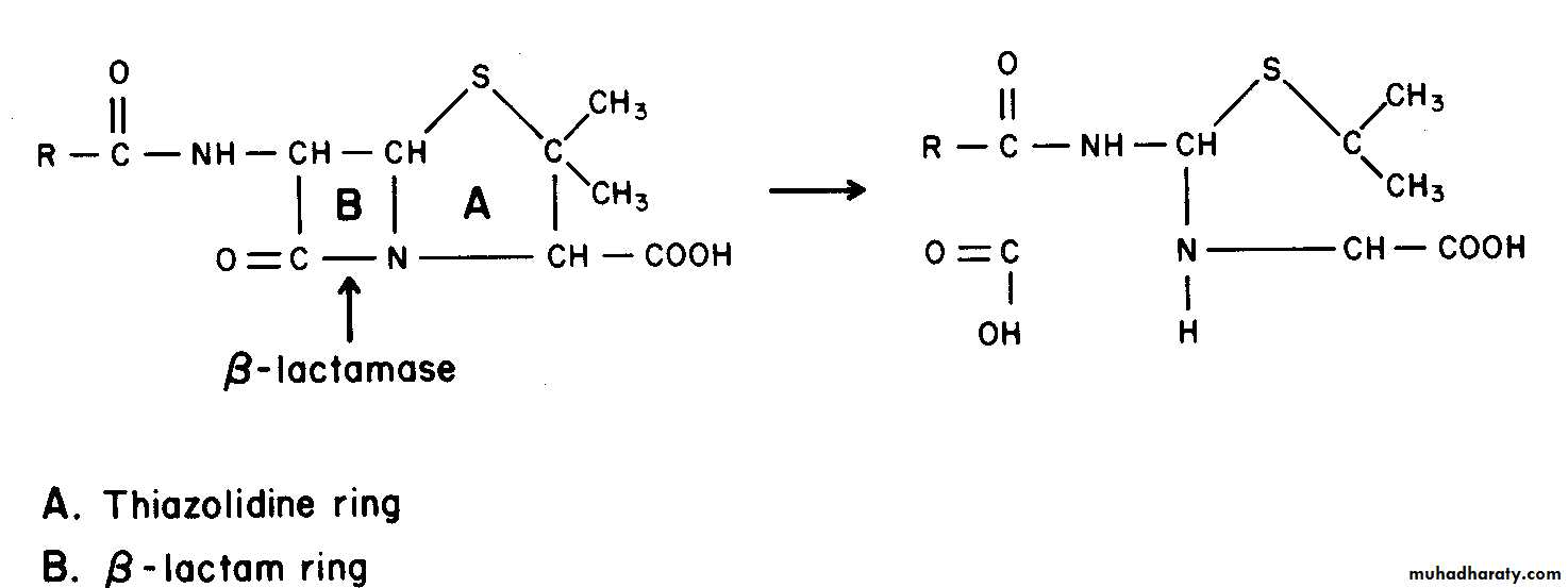
all penicillin contain the nucleus 6-aminopenicillinic acid (for biological activity ) penicillins consist of Thiazolidine ring , connected to B-lactam ring to which attached a side chin (R).
the addition of organic group at R position create the various penicillins. The penicillin can be inactivated by any reaction that remove R group or in case of penicillinase break the B-lactam ring.
Penicillins
T
β












